Protocol 36447: Standard PCR Assay - S1pr1<tm4.1Rlp>
Version 1.0

Notes

The genotyping protocol(s) presented here have been optimized for reagents and conditions used by The Jackson Laboratory (JAX). To genotype animals, JAX recommends researchers validate the assay independently upon receipt of animals into their facility. Reaction cycling temperature and times may require additional optimization based on the specific genotyping reagents used.

Expected Results

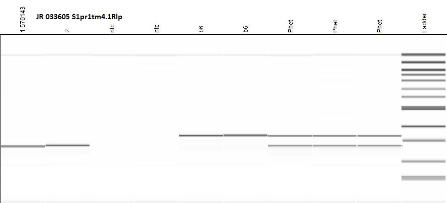
Mutant = ~250 bp
Heterozygote = ~250 bp and 341 bp
Wild type = 341 bp

>chr3:115711484-115711824 341bp TCGTCTGGAAACGTCAATTCT CCTCTGGGAGCTTGACAATG

JAX Protocol

Protocol Primers

Primer 5' Label Sequence 5' → 3' 3' Label Primer Type Reaction Note
48789 TCG TCT GGA AAC GTC AAT TCT Common A
48790 CCT CTG GGA GCT TGA CAA TG Wild type Reverse A
48791 CGA AGA TGT TGG GGT GTT G Mutant Reverse A FLuc

Reaction A

Component Final Concentration
ddH2O
Kapa 2G HS buffer 1.30 X
MgCl2 2.60 mM
dNTP KAPA 0.26 mM
48789 0.50 uM
48790 0.50 uM
48791 0.50 uM
Glycerol 6.50 %
Dye 1.00 X
Kapa 2G HS taq polym 0.03 U/ul
DNA

Cycling

Step Temp °C Time Note
1 94.0 --
2 94.0 --
3 65.0 -- -0.5 C per cycle decrease
4 68.0 --
5 -- repeat steps 2-4 for 10 cycles (Touchdown)
6 94.0 --
7 60.0 --
8 72.0 --
9 -- repeat steps 6-8 for 28 cycles
10 72.0 --
11 10.0 -- hold
JAX uses a very high speed Taq (~1000 bp/sec), use cycling times recommended for your reagents.
JAX uses a 'touchdown' cycling protocol and therefore has not calculated the optimal annealing temperature for each set of primers.

Strains Using This Protocol

This is the only strain that uses this protocol.