Stock No: 004745
Protocol 29205: Standard PCR Assay - Esr2<tm1Unc>
Version 4.2

Notes

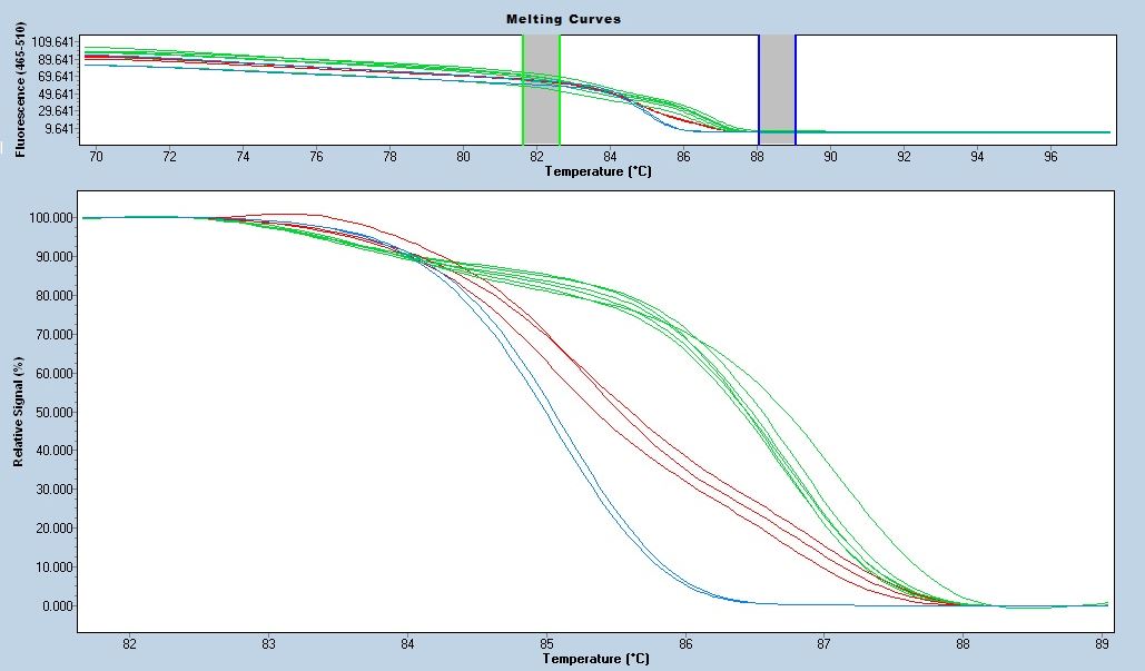
Melting curve analysis is done using a Roche Light Cycler 480.
The genotyping protocol(s) presented here have been optimized for reagents and conditions used by The Jackson Laboratory (JAX). To genotype animals, JAX recommends researchers validate the assay independently upon receipt of animals into their facility. Reaction cycling temperature and times may require additional optimization based on the specific genotyping reagents used.

Expected Results

Mutant Tm = 85.5°C +/- 1.0°C
Wild type Tm = 83.5°C+/- 1.0°C

JAX Protocol

Protocol Primers

Primer 5' Label Sequence 5' → 3' 3' Label Primer Type Reaction Note
oIMR3145 GTT GTG CCA GCC CTG TTA CT Wild type A
oIMR3146 TCA CAG GAC CAG ACA CCG TA Common A
oIMR3147 GCA GCC TCT GTT CCA CAT ACA C Mutant A

Reaction A

Component Final Concentration
ddH2O
Kapa 2G HS buffer 1.30 X
MgCl2 2.60 mM
dNTP KAPA 0.26 mM
oIMR3145 0.50 uM
oIMR3146 0.50 uM
oIMR3147 0.50 uM
Glycerol 6.50 %
Dye 1.00 X
Kapa 2G HS taq polym 0.03 U/ul
DNA

Cycling

Step Temp °C Time Note
1 94.0 --
2 94.0 --
3 65.0 -- -0.5 C per cycle decrease
4 68.0 --
5 -- repeat steps 2-4 for 10 cycles (Touchdown)
6 94.0 --
7 60.0 --
8 72.0 --
9 -- repeat steps 6-8 for 28 cycles
10 72.0 --
11 10.0 -- hold
JAX uses a very high speed Taq (~1000 bp/sec), use cycling times recommended for your reagents.
JAX uses a 'touchdown' cycling protocol and therefore has not calculated the optimal annealing temperature for each set of primers.

Strains Using This Protocol

This is the only strain that uses this protocol.