Protocol 34899: Probe Assay - Samd9l<em2(del43)Lutzy>-Probe
Version 1.0

Notes

Taqman qPCR protocols are run on a real time PCR instrument. Use an appropriate instrument specific Fluorophore/Quencher combination.

 

The genotyping protocol(s) presented here have been optimized for reagents and conditions used by The Jackson Laboratory (JAX). To genotype animals, JAX recommends researchers validate the assay independently upon receipt of animals into their facility. Reaction cycling temperature and times may require additional optimization based on the specific genotyping reagents used.

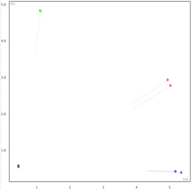
Expected Results

Mutant=  84 bp

Wild Type = 96 bp

>chr6:3324616-3324711 96bp ACCAACTTTCTCCAAAAGAACA TCATGAACGAATAAAAGTTTTCAC

Sequence

Wt Sequence:
AGTTAGCAAATAGCATTTCACTAAAATACCAACTTTCTCCAAaagaacaaagagcctttgaggccaaactacaggaaattgaaaaGGAGCATAAGAACTGTGAAAACTTTTATTCGTTCATGATCTTGAAAGGCAACTTTGATACAA
 
Mutant Sequence:
TGCATGAGATCTCAGAATCCAGATGAAAGTGCAAAGTTAGCAAATAGCATTTCACTAAAATACCAACTTTCTCCAagGAGCATAAGAACTGTGAAAACTTTTATTCGTTCATGATCTTGAAAGGCAACTTTGATACAACTTACATAAAGAATGTAG

JAX Protocol

Protocol Primers

Primer 5' Label Sequence 5' → 3' 3' Label Primer Type Reaction Note
44744 ACC AAC TTT CTC CAA AAG AAC A Wild type Forward A
44745 TCA TGA ACG AAT AAA AGT TTT CAC Common A
44746 Fluorophore-1 CTT TGA GGC CAA ACT ACA GGA Quencher-1 WT Probe
44747 GCA AAG TTA GCA AAT AGC ATT TCA Mutant Forward A
44748 Fluorophore-2 AAC TTT CTC CAA GGA GCA TAA GAA Quencher-2 MUT Probe

Reaction A

Component Final Concentration
Kapa Probe Fast QPCR 1.00 X
ddH2O
44744 0.40 uM
44745 0.40 uM
44747 0.40 uM
Wt Probe 0.15 uM
Mutant Probe 0.15 uM
DNA

Cycling

Step Temp °C Time Note
1 95.0 --
2 95.0 --
3 60.0 --
4 -- repeat steps 2-3 for 40 cycles
5 40.0 -- Forever
JAX uses a very high speed Taq (~1000 bp/sec), use cycling times recommended for your reagents.

Strains Using This Protocol

This is the only strain that uses this protocol.