Protocol 37169: Probe Assay - Clec3a<em1(IMPC)J>Alt1
Version 2.0

Notes

Taqman qPCR protocols are run on a real time PCR instrument. Use an appropriate instrument specific Fluorophore/Quencher combination.

 

The genotyping protocol(s) presented here have been optimized for reagents and conditions used by The Jackson Laboratory (JAX). To genotype animals, JAX recommends researchers validate the assay independently upon receipt of animals into their facility. Reaction cycling temperature and times may require additional optimization based on the specific genotyping reagents used.

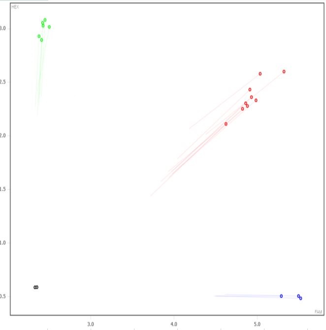
Expected Results

>chr8:114425857+114425996 140bp CTCCATATCCTCCCAAGTCA ACATGGTCTGTCTCTGCATACC

Mut = 150 bp

Wt = 140 bp

Fam = Mut

Hex = Wt

 

Sequence

Wt Sequence (deletions in lower case):

CTAAAAGTCCAAAGGAAACCCACCATGTAGTTCCTTACATAAACTAGGCTACAAATTAGATGGAAGCAGCCCAGGGTTTAAGATTACATTTTGAGTCATATGTGGCTGTGAGTTCATTATATGTCTCCTAATCCCTTtggggggcatttcaagttgtgagtgacaaattctctaagcctcaaaaacctgataaatcgggatagcaccaccatgtcttggggttgctggagttccgtgtagttattgttgtgtctggcaccaacaaaaccatcaatggtaactcttcactgtcaacccactaatcattacacaaatgtttaccaatgcttgccaggtcccgtattaggcatatcacacacaaaaggcaccgaatgacatcaccaactttcccatcttcacagtctgtctccgaggcaccaaagttcataagaagtgctaccttgcttcagaaggcctcaagcattaccacgaagccaacgaagactgcatttccaagggagggaccctggttgtccccaggaattccgacgaaatcaatgcccttcgagactatggtaagaggagtctgccaggtgtcaatgacttttggctaggcataaatgacatggtcacagaaggcaagttcctcgatgtccacggattcgctgtctccttcctcaactgggaccgtgcccagccaagtggtggcaagcgggaaaactgtgtcctgttctcccagtcagctcaggggaaatggagcgacgaagcctgtcgcagtagcaagcgatacatatgtgagtttatcatcccataagaagcccctcctccatatcctcccaagtcagactggtcagccatgataaataagctcgtaggccccctcagtaaACTCGGATTACATTTATTCATTGCAGCATCACAATGCCAGGATTGGTAGTCATAGGTATGCAGAGACAGACCATGTTTCTACCATAGCTCCTTGTAATATTACTCTTCGCATGACAAAGGGGATCAGAAAATAATGACCCAGACATGGTAAGAAAGGGACTTCTGATAATGGGCAGTCAAATTGTCTCCC

This mutation is a 730 bp deletion beginning at Chromosome 8 position 114,425,191 bp and ending after 114,425,920 bp (GRCm38/mm10).

JAX Protocol

Protocol Primers

Primer 5' Label Sequence 5' → 3' 3' Label Primer Type Reaction Note
50709 ACA TGG TCT GTC TCT GCA TAC C Common A
50710 CTC CAT ATC CTC CCA AGT CA Wild type Forward A
50711 AAG CAG CCC AGG GTT TAA GA Mutant Forward A
50712 Fluorophore-1 AGC CAT GAT AAA TAA GCT CGT AGG C Quencher-1 WT Probe
50713 Fluorophore-2 CAT TAT ATG TCT CCT AAT CCC TTA CTC GG Quencher-2 MUT Probe

Reaction A

Component Final Concentration
Kapa Probe Fast QPCR 1.00 X
ddH2O
50709 0.40 uM
50710 0.40 uM
50711 0.40 uM
Wt Probe 0.15 uM
Mutant Probe 0.15 uM
DNA

Cycling

Step Temp °C Time Note
1 95.0 --
2 95.0 --
3 60.0 --
4 -- repeat steps 2-3 for 40 cycles
5 40.0 -- Forever
JAX uses a very high speed Taq (~1000 bp/sec), use cycling times recommended for your reagents.

Strains Using This Protocol

This is the only strain that uses this protocol.