Protocol 35159: Probe Assay - Poglut3<em1(IMPC)J>
Version 1.0

Notes

Taqman qPCR protocols are run on a real time PCR instrument. Use an appropriate instrument specific Fluorophore/Quencher combination.

 

The genotyping protocol(s) presented here have been optimized for reagents and conditions used by The Jackson Laboratory (JAX). To genotype animals, JAX recommends researchers validate the assay independently upon receipt of animals into their facility. Reaction cycling temperature and times may require additional optimization based on the specific genotyping reagents used.

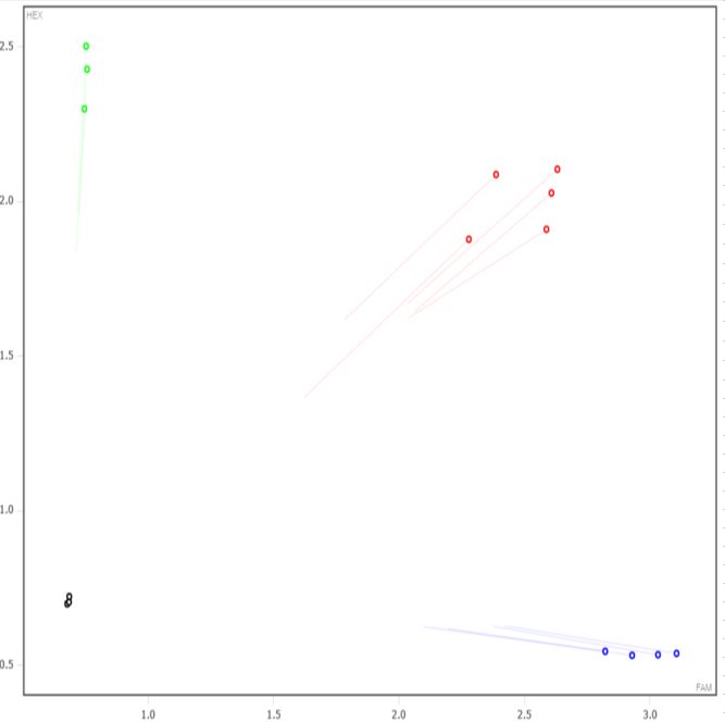
Expected Results

>chr9:53390818+53390951 134bp TTCAGGGCTCAGAAATGTGT CTCGTATTCTAGCTTATTCTGAAGC

Mut= 136 bp

Wt= 134 bp

Fam=Mut

Hex=Wt

Sequence

Wt Sequence (deletion in lower case):

 TTTTACAGGGAGAAAGTTGAATTGCCACAGGGCCATCATCTTTAGAATGTGGACTGTTACTGCTTGAATGTTATTCAGAGGAGAAAAGACCAAGTAGGAGAAATGTTACTTTCTTCAATGAATTAATTTTCTCATCCACTGTTATTGAATGACTGATGAgtcccatgttaagtcagatccttgccttaaggatggaccacacatagttgctgtctgcaaggatcttccaggctgaaatgagcatggtttaccatgaacactgcaggacaaaggactttcactgagacataatgatcaggaaatggcaacgttatttctatttcgtttgcttacaggtcaaacacagttcaaagtagtggtaaaatccctttcacctaaagagctggtccgtatttatgtccctaaacctttggacagaaatgatggaacgtttttggtgagatacaggatgcacgagacggcccataaagggctcaagatagagatccttcatggcagtgaacatgtggctcactctccctatattttaaaaggtacgtgttactactcacctgaccctaggcatatatgggatacttgcttttcagaagggctgtaatgaccctgcagtcaaatgtgacagagtaaacattgtatatgtacttctggaagttcaaattttacttcattttttggcatttaaaaaatgatcattttctgagtttggagagcccttgctgctcttaccgagggcctgggttcagttctcagcaccacatggtggctcacaagtcagctgtaactccagttctaggggatccaatgtccctttctgaccagacaggtatacatgtgacatgcacatacatgcatgcagacaaaacacacacataaaacaaagaaacctcttgaaaaatcctttcctgtttcattttgtatagttcctattgctgtatctctaagtttgttcatcttttgtcctgcactgccagagttgccattaatcccctccagtgtaactttttaattacactggtaacatttttaattttcctaagctttctctctgggatgtggcagagttaattggtcataatctgaccttttcctgttatatttttacagtgtgttagatgaaattgagtcatgtttaatctggggctaattactctcagcaactgaggtgcacacaccccaagtcccaagaatgaggaggctttccagccaggctgacacaagcacttggcccagccctgcaggagcgctatgtactggacacaagcacttgacccagccttgcaggagcgctatgcactggccaccagcgttgctctgatggtcttccctgcactgggtggattccactcacagatgccctggttacaggctgggctggactctccttctcagagtcctgaaggcttttaggctttcttgtgtttagttctcacccctcatacactctgttcccaggctcagctgcctgggtctctggcatgctcagctcttccttaacacagtgagactgctcagtcctgcacacactctcttcctgagctacagtaagcagcaagctgtgtgacctgtgaggtttcccttgctagtgtcacctccaagacccactgtccttccctctctcgtgtccataatctagaaactgtgagtccacatgacaggtttgaagtaaaagtcagcgcctcttcccagtctgtgtctgaagtagaaaactccagcaaaatgaggcctaacgtcatctcagcactggggaagtagagacaggaggatctctgtgtgagcaagcttaagactagcctgggctatataagactctgtttccaaagatcacaaataaaccatcaagaaaatatattcagttaaatacatgtgctgaaattatgttagatttgtatatattgtttctaaatgtgtcttcagaaaagtcttcagaaaagttcagctgtccacttacactgatagacccctctgggttactctttcctctgagatgtgctgaccaagggggcattagggaccttgagggaaaggccctccattttctcaaaaacttaactatttctgcatttgaatgtctgaaaatcaagaatttttctgtgctaaaatggagtcactttgcatttattacttatacctcagcagaagtggaggagtcatccacgtgactggagtgtgctagtttggaagtgagcatgtgctctgtagtctgtccagggggcctagttgggggcagaggtggggctctcacatgatcactctactacgaattgacctaagataggttcacctctgtcaggagtttccagatctgccaagctgccatccggtgctcacttcttcataggtcatggtgtttgttaactcagggtgacactgtgtgtgtgttccctccttaggacccgtgtaccacgagtactgtgactgcccggaagatgaccctcaggtctggcaggaaaccctgtcttgtccagccagtgaaccacagatcgagcaggattttgtttccttccccagcattaatctccagcagatgctgaaggaggtccccacaagatttggggacgagcggggtgctgttgttcattacacaattctcaataaccacatctaccggagatctttggggaaatacacagacttcaaaatgttctctgatgaaattttgctgtcactggcaagaaaggtagggaaacaaatgaactgcttccagaaatgatatcattgtgttgttgtggcaacagttacatacttaggacgataaagactggtgagaacagatttcagggctcagaaatgtgttccagaacgagcgtgagtctcctacctttgcagatggctttgctgtaagatttaggttgaGGTGGAATCCCAGAACTCAGGTTCATAAGGCTTCAGAATAAGCTAGAATACGAGAGTGAGGCGGAACGCCAGGACAGAGCACAGGTCTTGTTTAGAAGTCTAAAGGTTCTGGAGAGCTCAGTCAGGAGATTAATGTGGGGGGTAGAGATTTGGGCAGCT

This mutation is a 2694 bp deletion beginning at Chromosome 9 position 53,388,204 bp and ending after 53,390,897 bp (GRCm38/mm10).

JAX Protocol

Protocol Primers

Primer 5' Label Sequence 5' → 3' 3' Label Primer Type Reaction Note
45410 TTC AGG GCT CAG AAA TGT GT Wild type Forward A
45411 CTC GTA TTC TAG CTT ATT CTG AAG C Common A
45412 GAG GAG AAA AGA CCA AGT AGG AGA Mutant Forward A
45413 Fluorophore-1 CTC CTA CCT TTG CAG ATG GCT Quencher-1 WT Probe
45414 Fluorophore-2 CAC TGT TAT TGA ATG ACT GAT GAG GT Quencher-2 MUT Probe

Reaction A

Component Final Concentration
ddH2O
Kapa 2G HS buffer 1.30 X
MgCl2 2.60 mM
dNTP KAPA 0.26 mM
45410 0.50 uM
45411 0.50 uM
45412 0.50 uM
Glycerol 6.50 %
Dye 1.00 X
Kapa 2G HS taq polym 0.03 U/ul
DNA

Cycling

Step Temp °C Time Note
1 95.0 --
2 95.0 --
3 60.0 --
4 -- repeat steps 2-3 for 40 cycles
5 40.0 -- Forever
JAX uses a very high speed Taq (~1000 bp/sec), use cycling times recommended for your reagents.

Strains Using This Protocol

This is the only strain that uses this protocol.